壓力傳感器可靠性增長試驗存在的問題及建議
1、引言
目前,正在研制的壓力傳感器各個型號產品,普遍開展了可靠性試驗工作,這是值得可喜可賀的。過去,我們強調產品的可靠性是設計出來的、生產出來的和管理出來的,這無疑是正確的。但對于進行可靠性試驗,特別是對產品進行專項可靠性試驗,總覺得錢少,經費不夠,花不起。但自從強調了開展可靠性試驗工作以來,成效是顯著的,它明顯地降低了產品的故障率,提高了產品的固有可靠性和使用可靠性。例如,某些型號的導彈在靶場測試一次順利通過,飛行試驗連續獲得圓滿成功,就很能說明問題。工程實踐表明,開展型號研制階段的可靠性試驗工作,是七本萬利的事,因為通過可靠性試驗發現問題,改進設計、工藝是提高產品可靠性的一項重要而基本的措施,雖然需要一定的經費投入,但收效甚大,有較高的效費比,應當繼續加強。
產品的可靠性試驗是一項專門的學科,其內容十分豐富??煽啃栽囼灴煞譃楣こ淘囼炁c統計試驗兩大類,詳見下表:
當前,在研型號進行的主要是可靠性工程試驗,而統計試驗是用試驗統計的方法來確定產品的可靠性水平,在型號上還沒有開展起來。工程試驗的目的在于暴露產品的可靠性缺陷并采取糾正措施加以排除或使其出現概率低于容許水平。工程試驗包括環境應力篩選試驗和可靠性增長試驗。環境應力篩選試驗是用特定應力進行篩選,是為發現和排除不良零件、元器件、工藝缺陷和防止早期失效所做的試驗;可靠性增長試驗是在產品功能與性能基本完善的基礎上,為進一步暴露產品的缺陷,并在設計、生產和工藝等方面采取改進措施,確保產品的可靠性得到提高。環境應力篩選試驗對剔除產品的早期失效起到了關鍵作用,這是不言而喻的。而當前進行的所謂可靠性增長試不是依照有關國標、國軍標進行的,存在問題較多,需要認真進行研究。
2、可靠性增長試驗存在的問題
1)型號壓力傳感器可靠性增長試驗方案,不是依據有關國標、國軍標等設計,而是自行制定的與GJB1407-92《可靠性增長試驗》的要求根本不同,當前,型號產品可靠性增長試驗方案,是威布爾分布壽命型抽樣方案,取特例而得出的。
它根據下列方程
(1)
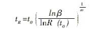
其中,n:進行壽命試驗樣品數;r:在[[0,t]時間內失效個數;c:合格判定數;to:任務時間;R1 (to):在規定任務時間內的產品極限質量,可記為LTPD;β:使用方風險;m:形狀參數;tR:可靠壽命。
取?。?)式的特殊情況,當C=0,即試驗n個保留且不允許失敗,可得下式
(2)
由此可以解得
(3)
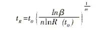
當試驗取一個樣品時,可得
(4)
4)式就是當前型號壓力傳感器用于確定加電、溫循試驗的總時間的一般公式。這是當前應用較普遍的所謂可靠性增長試驗的數學模型。該公式與通用的Duane和AMSAA模型顯然是兩回事。
應用Duane和AMSAA模型,必須要求試驗的產品出故障且采取相應的設計或工藝改進措施,才能使產品的可靠性得到增長?,F在進行的可靠性增長試驗,要求試驗產品不許出故障,這樣就暴露不出產品的薄弱環節,產品的設計或工藝便得不到改進,因此,其可靠性就得不到提高。
2 ) 試驗前把關不嚴:可靠性增長試驗通常安排在工程研制基本完成之后和可靠性鑒定試驗之前,這時產品的性能與功能已基本上達到設計要求,產品的結構與布局已接近定型狀態。這時進行試驗,對故障信息采取措施的時效性較高。反之,如果產品的功能尚未過關,性能還不穩定,這時進行可靠性增長試驗的時機還不成熟,產品出現故障的各種機理交織在一起,使問題變得更加復雜。
按照規定:進行可靠性增長試驗的產品,應具備應有的性能和功能;通過了環境試驗;進行了環境應力篩選試驗,剔除了材料和元器件的早期失效。當前,某型導彈發動機性能還不穩定就進行可靠性增長試驗,該試驗的時機就早了一些。當前重中之重的任務是完善和穩定性能與功能。還有的產品,例如,某型導彈控制系統的一個電子產品,進行可靠性增長試驗后的平均故障間隔時間MTBF只有十幾個小時,也用AMSAA模型進行計算,結論是可靠性顯著增長,其實,這時產品的故障仍屬于早期失效,還不具備做可靠性增長試驗的條件。
3) 受試產品的選用要把好關:有的型號產品,由于生產數量少,造成了一件產品多項用途、多次使用。例如,某型導彈的產品經過了點火、熱試車,還經過了數十次氦吹,又拿來進行可靠性增長試驗。試驗的結果如何,是可想而知的。拿這種產品做試驗,達不到試驗的目的。
4) 需加強試驗過程的監控:一般來講,總體部提出的型號產品進行試驗的總要求是經過評審的。但依據總要求制定的具體產品的試驗方案,還應當加強評審,這是因為每個具體產品要求的溫度、濕度、振動和電應力的條件各不相同;整個試驗過程是否按照大綱的要求去做,也需要進行監控;試驗后,也應當進行評審和總結。在這些問題上,軍方作為產品的最終用戶,介入較少,沒有起到應有的作用。
3、幾點建議
1)明確定義:由前面的公式可以看出,當前進行的可靠性增長試驗的一個最基本的出發點是基于任務時間,推算出單臺產品嚇出故障的試驗終止時間,所以,我們認為把該試驗稱為可靠性摸底試比較妥當。
2)加強對試驗的監控工作:當前的試驗,雖然不是嚴格意義上的可靠性增長試驗,但實踐證明,這種試驗對提高產品的可靠性,剔除整機產品的早期失效,降低產品的故障率,實現預防為主,一次成功的要求,起到了較大的推動作用,應認真總結經驗教訓,加強試驗的監控工作,使試驗收到更大的成效。
3)創造條件,開展可靠性強化試驗研究:時間和費用是當前約束產品不能依照標準和規范進行可靠性增長試驗的原因。為解決這一矛盾,建議開展可靠性強化試驗研究??煽啃詮娀囼灥幕驹硎抢霉收衔锢韺W的概念,對電子產品的失效情況和應力等級進行分析研究。例如,試驗應力的等級如何選取,電子產品的應力是否可分為技術規范極限、設計極限、工作極限、破壞極限幾個等級;如何使選取的試驗應力既不會改變產品的失效模式,又不對產品造成破壞性損傷;如何能夠盡早充分暴露設計和工藝缺陷。通過這些研究,達到短時高效暴露產品缺陷,使產品的可靠性得到迅速、真正地提高的目的。本文源自澤天傳感,版權所有,轉載請保留。
- 上一篇:熱電偶溫度傳感器測量誤差的主要影響因素 2019-9-3
- 下一篇:影響壓力傳感器敏感元件行業發展的主要因素分析 2019-8-19

